Last updated: September 24, 2025
Article
Elk and Vegetation Management Plan 15-Year Sampling Results
The Elk and Vegetation Management Plan was implemented in 2008 to address the negative impacts of excessive winter elk herbivory on riparian wetland plants that are key components of wetland ecosystems.
Category
|
Desired Future Condition (20+ Years) | 20-Year Goal |
15-Year Results
|
---|---|---|---|
Winter Elk Population | Maintain an overwintering elk population no greater than 800 in RMNP Achieved |
Progressive decrease in the number of elk overwintering in RMNP below peak levels of ~3,500 animals Achieved |
<100 elk overwintering in RMNP |
Aspen | At least 45% of aspen plots across the entire winter range regenerating Increased aspen recruitment represented by aspen plots containing ~75% small diameter stems |
Progressive increase in regenerating aspen plots above the baseline level of 13% Achieved Progressive shift in the distribution of stem sizes within aspen plots toward ~75% small diameter stems Achieved |
Regeneration occurring in 43% of aspen plots across the entire winter range. Percent of aspen plots with >75% of small diameter stems has increased from 1% at baseline to 19% |
Riparian Montane Willow | Up to 70% willow cover within suitable willow habitat across the winter range Achieved Average willow height of 2–2.5m (beyond the reach of elk browsing) across the winter range No net increase in willow browse across the winter range above the baseline level |
Average willow cover of >31% within suitable habitat across the winter range Achieved Average willow height of at least 1.1 m across the winter range Achieved - but does not represent landscape-scale progress No net increase in willow browse across the winter range above the baseline level Achieved - but does not represent landscape-scale progress |
Willow cover across the winter range is 45% Average height of willow across the winter range is 1.29 m—largely driven by increases inside elk exclosures Willow browse intensity has decreased by roughly 20–40% since baseline measurements |
Upland Shrub Cover | Increased diversity of browsing levels so that not all areas are heavily browsed across the winter range Achieved |
No net increase in winter upland shrub browse above baseline levels across the winter range Achieved |
Upland shrub cover has remained stable throughout the 15 years since EVMP implementation |
Table 1. A comparison of Desired Future Condition (20+ Years) and 20-Year Goals for elk and vegetation in Rocky Mountain National Park under the EVMP with progress toward these goals at the 15-year mark. Data from the 15-year resampling indicates RMNP is achieving management goals defined in the EVMP. However, progress toward desired vegetation conditions in the core winter range is almost entirely driven by willow and aspen growth inside exclosure fences.
Status of Winter Elk Population
Since 2008, the winter elk population has been estimated at or below 800 elk, the maximum goal defined in the EVMP. Limited culling was prescribed when the population was between 600-800 to maintain the population below 800, but this has not been necessary since 2011. Since 2020, the wintering elk population has been estimated at less than 100 elk (Figure 1). This decrease is attributed to a larger number of elk migrating east out of the park during winter – a natural migratory pattern - rather than a decrease in the overall population which uses the park.

Hobbs 2023
Status of Vegetation Recovery
As of 2023, aspen and willow growth are nearing, or have exceeded, the 20-year interim goals for desired future conditions on the elk winter range. However, this progress does not represent uniform vegetation recovery across the landscape. Instead, vegetation data indicate that progress toward desired vegetation conditions is almost entirely driven by willow and aspen growth inside exclosure fences on the core winter range (where elk use is highest) and in areas of the noncore winter range (that are not heavily used by elk). This result can be misleading, as exclosure fences only cover a small percentage of the landscape. Unfenced willow and aspen in the core winter range have shown minimal growth.
Willow data provide a tangible example of this. The 20-year goals for willow call for “average willow height of at least 1.1m across the winter range.” At the 15-year sampling, average willow height across the winter range was documented to be 1.29 m, surpassing the 20-year interim goal. This progress is mostly attributed to significant willow growth inside exclosure fences on the core winter range and willow growth on the noncore winter range. For example, the average height of fenced willow on core winter range increased 150% from 0.59 m at baseline to 1.5 m in 2023. The average height of unfenced willow on the core winter range changed insignificantly from 0.74 m at baseline to 0.78 m over the same 15-year period. On the noncore range, unfenced willow also increased significantly from 1.38 m at baseline to 1.6m in 2023 (Figure 2).

NPS Graphic
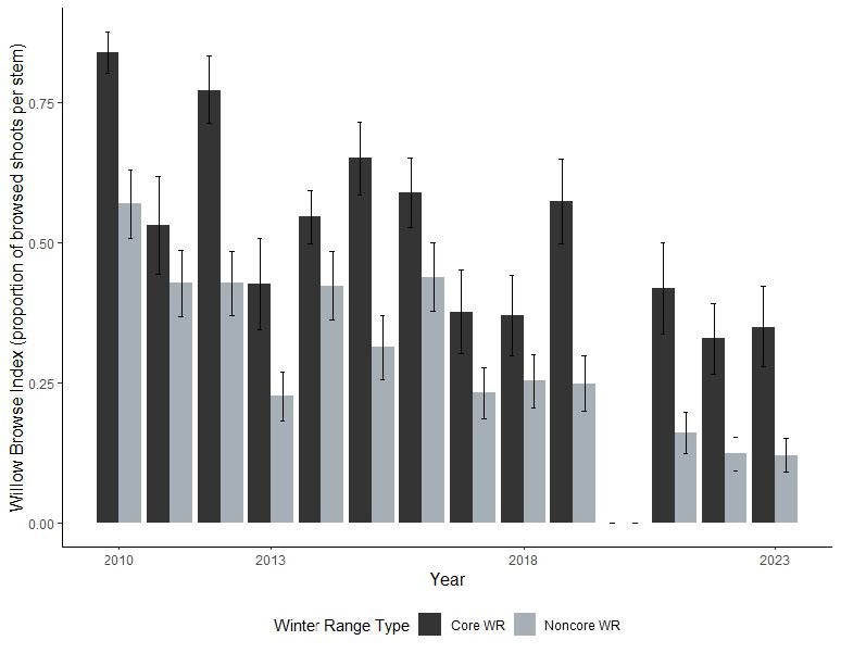
In addition to willow height and willow cover, park staff also monitor browse on willow to understand how ungulates may be influencing willow growth over time. Browse intensity on willow decreased significantly on the entire winter range over the 15 years since EVMP implementation. The average percentage of browsed stems per willow on the core winter range dropped from 80% at baseline to 38% in 2023. The average percentage of browsed stems per willow on the noncore winter range dropped from 49% at baseline to 12% in 2023 (Figure 3).

NPS/ L. Zeigenfuss

NPS/ L. Zeigenfuss
Why is vegetation growth stalled outside fences?
Results of the EVMP 15-year resampling suggest that elk browse alone is not responsible for lack of vegetation growth outside fences. Lack of vegetation growth outside fences is likely caused by several factors including diminished beaver populations, altered hydrology, an increasingly arid climate, and increased moose browse in the core elk winter range.
As part of the EVMP, park staff also document signs of animals in monitoring plots outside of fences. Tracks, scat, browse, and animal sightings within the boundary of each plot were considered evidence of presence.
Beaver presence at EVMP plots has steadily declined over the past 15 years due to poor habitat found in degraded wetlands and flood events. Roughly a quarter of core winter range willow plots and half of noncore winter range willow plots had signs of beaver activity at baseline, but by 2023, that had been reduced to 5% on both the core and noncore winter ranges.
Moose sign increased throughout the 15 years since EVMP implementation with evidence of moose appearing earlier in noncore winter range aspen plots. By 2023, signs of moose presence were recorded in over 60% of unfenced aspen plots across the elk winter range (Figure 5).

NPS /L. Zeigenfuss
What’s Next?
With the Elk and Vegetation Management Plan documenting scant progress in wetland restoration outside of fenced areas, greatly diminished beaver populations, and the exacerbating effect of increased moose browse, park staff are beginning a preliminary planning process to design a parkwide wetland restoration plan that addresses the landscape-scale variables listed above. The park is in an information gathering phase, with no specific actions being considered. The park is eager to seek substantive feedback from park stakeholders to help inform continuing wetland restoration.
In the meantime, exclosure fences will remain in place to protect vegetation that is recovering within them until the plants grow enough to withstand herbivory.
Click Here

Explore the Elk and Vegetation Management Plan